Tabela de Fator K para chapas Dobradas!
Neste artigo, vamos apresentar uma Tabela de Fator K e Raio Interno (Ri) para dobras em chapas metálicas e explicar os principais fenômenos que envolvem o processo de planificação da chapa dobrada.

Sumário
O que é o Fator K?
O Fator K é uma constante que determina a posição da linha neutra em relação à espessura da chapa no processo de dobra. Seu valor varia em função do quociente de dobra, do ângulo formado e do material utilizado.
Nos projetos de chapas metálicas, o Fator K está diretamente relacionado ao Raio Interno de Dobra (Ri). A partir da combinação desses dois valores, é possível calcular com precisão o planificado da peça dobrada.
Abas Dobradas
As abas são as geometrias formadas após o processo de dobramento de uma chapa. O comprimento de cada aba depende de fatores como a posição da linha de dobra, o raio interno, o canal da ferramenta utilizada, a espessura da chapa e o material a ser conformado.
A medição pode ser feita a partir da aba externa ou da aba interna. Na prática, é mais comum utilizar a aba externa, especialmente em dobras a 90°, pela maior facilidade de conferência. Já a aba interna costuma ser aplicada em peças com ângulos diferentes de 90°.
Durante os projetos em software CAD, o projetista define a utilização de abas internas ou externas. É mais comum a utilização de abas externas devido a facilidade geral durante o projeto.

Nos desenhos técnicos, é possível encontrar tanto a medida da aba externa quanto da interna, conforme exemplificado na Figura 1. Porem é mais comum o projeto e desenho técnico utilizando abas externadas, e nos ângulos diferentes de 90° o formato da cota é conforme a Figura 2.

Planificado
O planificado é a dimensão da peça antes da dobra, ou seja, a quantidade de matéria-prima necessária para sua confecção. Durante o processo de dobramento, ocorre a formação de raios que fazem com que o comprimento da peça dobrada seja diferente do comprimento da chapa plana, Figura 3.
Com o avanço das máquinas de corte a laser e o aumento da complexidade das peças, a determinação precisa do planificado se tornou fundamental para garantir eficiência e economia na fabricação.

Além da metodologia do Fator K aqui apresentada, também existem outros métodos para o cálculo do planificado, como o uso de tabelas de dobra, tolerâncias e deduções. No entanto, a abordagem baseada no Fator K é considerada uma das mais simples e exatas, sendo amplamente utilizada por engenheiros e projetistas.
Linha Neutra
A linha neutra é a região que separa as áreas de compressão e tração em uma chapa durante o dobramento. Nela, a tensão é nula, enquanto atinge valores máximos ao se aproximar das superfícies da chapa, Figura 4.
Sua principal característica é que o comprimento da linha neutra permanece inalterado após o processo de dobramento (GAUSMANN, 2017). Por isso, ela é utilizada como referência no cálculo do planificado, permitindo dimensionar corretamente a matéria-prima necessária.
Durante a conformação, a linha neutra se desloca em direção à região comprimida (superfície interna da chapa) devido à deformação plástica. Sua posição pode ser expressa em função do Fator K (STEPHAN et al., 2011). Quanto maior o valor do Fator K, maior será a área de compressão da chapa. Na Figura 4 é possível observar as regiões da chapa dobrada, como área de compressão, tração e a linha neutra.

Equações da Literatura
As equações clássicas que definem o valor do Fator K a partir do Raio Interno de Dobra (Ri) podem ser representadas pela Equação 1. No entanto, na prática, muitas vezes o projetista não conhece previamente o valor do raio interno, o que pode dificultar o processo de cálculo. Outro ponto importante é que essas equações mantêm o Fator K fixo, sem considerar variáveis como o quociente de dobra (relação da abertura com a espessura), o ângulo dobrado e o material da chapa.
De acordo com essa formulação, quanto maior o Raio Interno, maior será o valor do Fator K. Considera-se, por exemplo, que quando o raio interno é igual à espessura da chapa, o Fator K é 0,65, variando a partir da metade da relação logarítmica entre o raio interno e a espessura:
Equação 1:

Onde,
Ri = Raio Interno de Dobra (mm)
e = espessura (mm)
Regras Práticas de Planificado
Com o passar dos anos, foram estabelecidas diversas regras de bolso para a determinação aproximada do Fator K e do Raio Interno de Dobra. Uma das mais conhecidas é:
- Fator K = 0,3
- Raio Interno = Espessura da chapa
Durante os estudos do desenvolvimento da tabela de dobra, pudemos constatar que essa regra atende a grande parte dos casos de dobra, apresentando tolerâncias da ordem de 0,4 mm por dobra para chapas de até 3 mm e cerca de 3 mm por dobra para chapas de até 12,7 mm. Para muitos projetos, essa margem é aceitável, permitindo a aplicação prática dessa regra simples.
Regras Práticas de Dobra
Grande parte da produção nacional de chapas dobradas é realizada pelo método da dobra no risco, sem a utilização do encosto traseiro. Para dobras de 90°, a regra abaixo é amplamente utilizada, apresentando tolerâncias em torno de 1 mm:
Equação prática:
Planificado = Aba Externa – espessura
Com essa equação, também é possível obter bons resultados para o cálculo do planificado em dobras de 90°.
Tabela de Fator K para Dobras
Com o objetivo de aumentar a qualidade técnica dos projetos de chapas dobradas, a Braffemam desenvolveu uma tabela exclusiva que reúne as principais informações para projetistas e engenheiros.
Nela, é possível encontrar a definição do Raio Interno de Dobra e do Fator K em função de variáveis como espessura da chapa, material, canal utilizado e ângulo de dobra, entre outros parâmetros relevantes.
O desenvolvimento de equações analíticas para representar com precisão o Raio Interno de Dobra e o Fator K é um desafio, pois a geometria formada durante a conformação não corresponde exatamente a um arco de círculo, mas sim a uma parábola (Kucarz, 2024). Isso torna necessária a utilização de aproximações geométricas, que dificultam a formulação de modelos matemáticos exatos.
Diante dessa limitação, optou-se pelo desenvolvimento de testes práticos para determinar valores de Fator K e Raio Interno, alcançando previsões mais precisas e confiáveis do que as obtidas apenas por métodos analíticos.
Metodologia
O processo de dobramento ao ar apresenta incertezas relacionadas ao alinhamento punção–matriz, à geometria das ferramentas e ao esquadro da peça durante a dobra. Esses fatores dificultam medições confiáveis utilizando unicamente instrumentos clássicos como paquímetro ou micrômetro e podem gerar erros dimensionais.
Para superar essas limitações, foi projetada e construída uma ferramenta exclusiva, Figura 5, inspirada em conceitos de estamparia e usinada em centro de usinagem de alta precisão. Essa solução permite utilização em diferentes dobradeiras e garante maior controle sobre o alinhamento do setup, reduzindo significativamente as incertezas do processo.

O encosto da chapa, Figura 6, foi realizado por um batente preso diretamente na matriz, e quando necessário, foi adicionado um calço entre o batente e a matriz.

Medição das Abas
A medição das abas externas dobradas a 90° foi realizada em uma mesa de desempeno Starrett, utilizando um traçador de altura Mitutoyo, conforme apresentado na Figura 7. O ângulo da dobra foi verificado com um goniômetro de precisão Digimess.

Para as abas externas dobradas em ângulos de 60°, 120°, 135° e 150°, foi desenvolvido um gabarito específico, Figura 8. Com base no princípio da interpolação, foram usinadas peças com aberturas correspondentes aos ângulos internos citados, possibilitando o encaixe das chapas dobradas.
O gabarito contém uma aba com medida de referência conhecida. Ao apoiar a peça dobrada sobre o gabarito, torna-se possível comparar as dimensões da aba da chapa com a aba de referência, assegurando maior confiabilidade na medição.

Cálculo do Ri e do Planificado
Para determinar a posição em que se iniciava a deformação plástica da chapa dobrada (Raio Interno), foi utilizado um esquadro sobreposto à peça. A marcação foi feita no ponto em que a superfície deixava de ser plana e passava a apresentar curvatura, definido como a tangente entre o raio interno e a aba dobrada. A marcação foi realizada em ambos os lados da peça (conforme apresentado na Figura 9),e, a partir desses pontos, utilizou-se um paquímetro para medir a corda do semicírculo.

O Raio Interno de Dobra (Ri) foi obtido a partir da medição da corda do arco formado na região de conformação plástica, conforme a relação:
Equação 2:

Onde,
Ri = Raio Interno de Dobra (mm)
Corda = Corda do Semicírculo (mm)
α = Ângulo de dobra Interno (°)
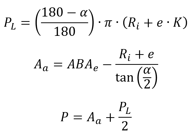
Para o cálculo do planificado, foram utilizadas as relações geométricas do semicírculo somadas ao comprimento reto da chapa. A Figura 9 apesenta a geometria e dedução do cálculo do planificado, considerando a medida da aba externa da dobra:

Equações 3:

Pr = Perímetro da Linha Neutra (mm)
Ri = Raio Interno (mm)
K =Fator K
α = Ângulo de dobra Interno (°)
e= Espessura da chapa (mm)
Aa = Aba Anterior ao Raio (mm)
ABAe = Aba Externa (mm)
P = Planificado da Dobra (mm)
Pl = Perímetro do Semicírculo formado na altura da linha neutra (mm)
A partir da relação acima, é possível isolar o Fator K em função das demais variáveis, conforme equação 4. Assim, o Fator K pode ser calculado com base nas variáveis conhecidas do processo.
Equação 4:

O valor do Fator K depende diretamente do resultado do Raio Interno de Dobra (Ri). A metodologia de medição do raio pode apresentar pequenos desvios devido à sua complexidade técnica. Entretanto, como a equação do Fator K considera o planificado real da chapa antes da dobra, ela compensa eventuais imprecisões na medição do raio.
Dessa forma, o conjunto Ri + Fator K garante o cálculo preciso do planificado. Trabalhar essas variáveis de forma independente pode levar a erros; portanto, elas devem sempre ser consideradas em conjunto para representar corretamente a geometria da dobra.
Tabela de Fator K e Raio Interno
A tabela de Fator K foi elaborada a partir das medições realizadas após o dobramento das chapas em diferentes setups. Ao todo, o processo envolveu 277 setups de dobra, resultando em mais de 1.385 corpos de prova analisados.
As variáveis identificadas como principais influenciadoras na formação da aba foram a Espessura da Chapa, Canal da Matriz e Ângulo do Dobra.
A Tabela de Fator K foi organizada de acordo com os materiais testados:
- Aço 1006 FF, 1008 FF e 1010 FF (aços doces)
- Aço ASTM A36
- Aço Inox 304
- Alumínio
Além do Raio Interno (Ri) e do Fator K, a tabela de fator k também apresenta parâmetros adicionais como a Distância mínima para colisão (DD), comprimento da Borda C e Borda P, fundamentais para a eliminação do efeito de borda em chapas metálicas.
A tabela de fator k completa pode ser baixada em PDF através do link abaixo:
Tabela de Fator K – Link do PDF
Os setups de dobra mais recomendados estão destacados em linhas verdes na tabela. Eles correspondem às condições que resultam em um raio interno menor e melhor acabamento visual da peça dobrada.
Tabela de fator k para dobras 90°
| E | Canal V | Ri | Fator K |
|---|---|---|---|
| 0,8 | 6 | 0,8 | 0,160 |
| 1,0 | 8 | 0,8 | 0,170 |
| 1,2 | 10 | 1,3 | 0,240 |
| 1,9 | 16 | 2,9 | 0,360 |
| 2,25 | 20 | 2,8 | 0,190 |
| 2,65 | 22 | 1,9 | 0,280 |
| 3,0 | 25 | 2,0 | 0,290 |
| 3,75 | 40 | 4,0 | 0,250 |
| 4,75 | 50 | 6,5 | 0,300 |
| 6,35 | 60 | 8,5 | 0,333 |
É importante destacar que, nos desenhos técnicos das peças dobradas, deve sempre ser especificado o canal de dobra utilizado, pois esse parâmetro influencia diretamente na formação da aba e no resultado final da peça.
Escritor: Pedro Kucarz
Mestre em Engenharia Mecânica e de Materiais
Departamento de Engenharia Aplicada – Braffemam
Referencial Teórico
STEPHAN, Andreas; NÄHER, Friedrich; PAETZOLD, Heinz; HEINZLER, Max; GOMERINGER, Roland; KILGUS, Roland; OESTERLE, Stefan; FISCHER, Ulrich. Manual de Tecnologia Metal Mecânica. [S. l.]: Blucher, 2011.
GAUSMANN, Francis. A influência da fibra neutra no desenvolvimento do planificado. 2017. 0–89 f. Universidade Regional do Noroeste do Estado do Rio Grande do Sul, 2017.
KUCARZ, Pedro. Análise do deslocamento do punção e sua influência no ângulo interno de chapas dobradas ao ar. Dissertação (Mestrado) – Universidade Tecnológica Federal do Paraná, Curitiba, 2024.
